位置: 首頁>>波浪理論圖解
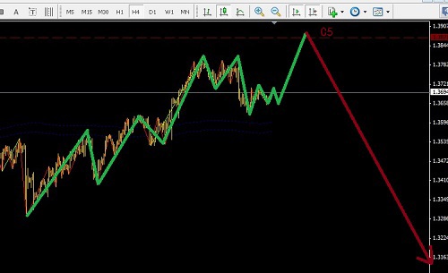
黃金4浪位置,小損博多頭三月 11th, 2014
黃金從波浪理論來看目前正在4浪的三角形調整最后一波里面:
具體操作可以1326.5的前低點掛多單,止損設在1319.0前低位置,目標博后面的C浪5行情!
美國向俄國提出的解決方案…
16 人評論
普京意志堅決,英鎊強勢瑞郎避險三月 7th, 2014
最近的烏克蘭事件引起俄羅斯和烏克蘭富商資本流出到英國物業,這進一步加強了英國房產熱導致的房價指數上升,引導通脹加息預期的上升,這對英鎊的走強給予了進一步的支撐!…
暫無評論
澳洲GDP增長2.8%,看好先調整后多頭三月 5th, 2014
本周美元指數在一個拐點位置,歐元的強勢能否得以持續不好把握,相比之下澳元的基本面和技術要清晰許多,周三的澳洲聯儲GDP年率上升到2.8%,市場表現出多頭的意愿,但是…
1人評論
烏克蘭事件被美口頭壓制,黃金兌美元處于調…二月 28th, 2014
黃金正在按調整的預期運行,第一波下來245點沒有顯露空頭的殺傷力,現在的價位不要耐不住寂寞去追漲,趨勢是多頭沒有錯,但時機不對套起來也很難受,大4浪的調整至少是90個…
5 人評論
黃金正在3浪末期,建議收單重新再做二月 25th, 2014
黃金目前的多頭行情處于C浪3的頂部區域,運用波浪理論出場經常用到3浪5要出場,而3浪5目前就在眼前,對應的1小時級別出現macd背離,技術面既然走到到了一個多頭要橫盤整理…
暫無評論
商品貨幣反彈初期,紐元比澳元更好操作二月 18th, 2014
不知不覺,澳元兌美元走出了波浪理論的標準形態420點的逆勢朝五,認真就在澳元天圖的前面有一個920點的大朝五,但失敗了,相比之下眼下的朝五比920點的朝五成功率高,原因是…
2 人評論
美元指數低位橫盤,正在蓄勢待發二月 13th, 2014
美元指數花了足夠的時間在低位橫盤,技術形態正在走一個收縮三角形調整邊界,市場如果能破掉波浪理論圖解的2浪低點正好構成一個小平臺型調整,這里我的判斷市場正在一個準備…
暫無評論
黃金短線逢低多,英鎊高位收單二月 12th, 2014
黃金的技術面表現強勢,一波單邊的上漲行情中隱藏的引導楔形構成了小1浪,多頭行情如圖解還有一段要去運行,眼前在3浪的位置之中,建議繼續逢低做多!
英鎊在最近的波浪理論…
4 人評論
美日引導楔形,右側進場做多一月 29th, 2014
過年期間可以做的單子不多,其中美日多單和澳美兩個機會,美日在高位調整了102個4小時,內部結構3-3-3結構,右側逐步走出小型引導楔形,不管后面是要B浪后繼續回調還是走全…
2 人評論
歐元空頭初期,找機會中線切入一月 21st, 2014
在基本面上此時此刻是非常不愿意去空美指的,因為處于一個天圖級別的拐點上,而且歐的基本面并非強勢,只是給美元的13年弱勢被動拖累,也就是歐美一直潛伏著一波大型的空頭…
6 人評論
本周不會寂寞,澳元和日元兩個機會一月 14th, 2014
首先2014年基本面中最好做的幣種一定是英鎊的多頭、日元和商品幣種中的澳元、加元空頭,眼前市場進入了中等級別的調整,而且目前就在低位,不管是短線還是小中線在這段時間…
6 人評論
美加正在主升浪之中,中線追漲一月 10th, 2014
14年初的第一個最值得去操作的品種一定是商品貨幣,排第2的是日元繼續貶值,當下的美元在逐步退出QE之中,所以配合起來14年首先有的大行情就是美加長線多頭,澳美繼續空頭…
1人評論
美日即將面臨高位阻力一月 2nd, 2014
美日的周圖級別走出標準的5波推動浪結構,3浪已經足夠長了,那么5浪能夠出現延長浪嗎?基本面支持出現延長浪,只是需要市場的一點配合,105.55是一個周線圖級別的阻力,這個…
暫無評論
歐美長線空頭2000點,正在調整末期十二月 26th, 2013
最近的長線單開始認真盯盤,目前正在跟蹤之中,主要的幣種歐元兌美元空頭2000點級別,基本面在美國這邊出現了拐點,歐洲的經濟背景和貨幣政策都是雙向利空與歐元,就差一個…
10 人評論
伯南克講話,歐元和黃金適合突破下單十二月 18th, 2013
今天晚上面對伯南克講話,市場進入焦灼狀態,主要關注歐元和黃金兩個品種: 歐元從波浪理論走勢來看市場正好走在第4浪的位置,而且走了一個標準的三角形調整,按純技術當然…
暫無評論
